一、 粗紗卷繞的一般概念
(一)粗紗卷繞的方式
是圓柱形卷繞,即每一層粗紗都在同一個圓柱面上卷繞。細紗為圓堆形卷繞。兩者相比其特點是:
1、 同層紗卷繞直徑不變,卷繞張力不變。
2、 同層紗的卷張力不變。
3、 便于壓掌壓紗。
(二)對粗紗卷繞過程及要求
1、 同一層粗紗一圈挨一圈地卷繞→ 同一層紗卷繞直徑不變;
2、 自內向外一層挨一層地卷繞→ 卷繞直逐漸增大;
3、 兩端成圓堆形→ 繞紗動程逐層縮短。
二、 粗紗機的卷繞方程
1、卷繞方程
設:df為前羅拉直徑(mm),nf為前羅拉轉速,Dx為粗紗的卷繞直徑(mm),nw為卷繞速度(圈/min),則粗紗機實現卷繞的基本條件是:單位時間內粗紗的卷繞長度等于前羅拉輸出長度,用公式表示為:

2、筒管轉速
設ns為錠子轉速(r/min),nb為筒管轉速(r/min),則卷繞速度為:
nw= nb+ns (6-5)
將式(6-4)代入(6-5)式整理得:

由(6-6)式可知:(1)筒管速度為錠子的恒速與變速的合成;(2)隨卷繞直徑的增大,筒管速度減小。
3、筒管的升降速度
設Vr為筒管的升降速度(mm/min),h為粗紗的圈距(mm),則有:

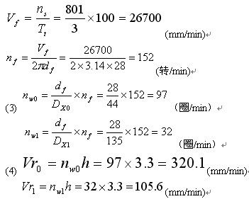
計算舉例:已知A456D型粗紗機前羅拉直徑為28mm,紡制粗紗的特數為729,粗紗的捻系數為92。
1、粗紗捻度(捻/10cm);
2、若錠速為801r/min,前羅拉轉速是多少(r/min)?
3、若空管直徑為44mm、滿紗直徑為135mm,卷繞速度分別是多少(r/min)?卷繞分別為多少(r/min)?
4、若粗紗的卷距為3.3mm,求空管與滿紗時筒管的升降速度(mm/min)。

